Contato +55 11 3829-8040
LOBOV Científica
Produtos
 
 
 
 
 
 
 
 
  Duvida
Tygon® 3350
 
     

Projetado para ter uma superfície ultra lisa

A superfície interna do tubo de silicone Tygon® 3350 foi projetada para reduzir o risco de aprisionamento de partículas e acúmulos microscópicos durante a transferência de fluidos. Análises de superfície interna, realizadas em nossos laboratórios, do tubo Tygon®3350 em comparação com outros tubos de silicone mostram que a superfície do tubo do Tygon® 3350 é até três vezes mais lisa. Além disso, quando comparado ao tubo de aço inox, o Tygon® 3350 apresenta uma superfície até 40 vezes mais lisa.

Um caminho com menos interferência para o líquido também facilita o saneamento completo do sistema de transferência de fluído. Mesmo em aplicações de uso repetitivo, o tubo de silicone de Tygon® 3350 evita acúmulo de resíduos, auxiliando na completa limpeza e esterilização. Além disso, o interior liso do tubo melhora as características de fluidez através da redução da superfície de contato.

Baixo teor de extraíveis e biocompatibilidade superior

O tubo de silicone Tygon® 3350 foi projetado para atender aos requisitos mais exigentes de biocompatibilidade. Testes realizados em nossos laboratórios mostraram que o Tygon® 3350 possui baixo teor de extraíveis. Extraíveis menores ajudam a manter a pureza dos fluidos transportados em aplicações sensíveis. O tubo Tygon® 3350 curado a platina cumpre integralmente os requisitos dos critérios USP classe VI e é totalmente atóxico, não-hemolítico e não-pirogênico. Além disso, o tubo de silicone Tygon® 3350 está em conforme com os Padrões Sanitários 3-A, critérios FDA 21 CFR Part 177.2600 e padrões NSF 51. Além também estar em conformidade com a ISO 10993, que estabelece as diretrizes para contato com sangue (ou outros fluidos corporais e tecidos), conforme listado na FDA GP-95.

  • ·         Interior ultra liso reduz o potencial de acúmulo de partículas;

    ·         Mínimo de extraíveis ajuda a manter a integridade do fluido;

    ·         Bio compatibilidade validada para aplicações críticas;

    ·         Excelente fluidez;

    ·         Testado de acordo com os requisitos da norma ISO 10993 facilitando o processo de validação;

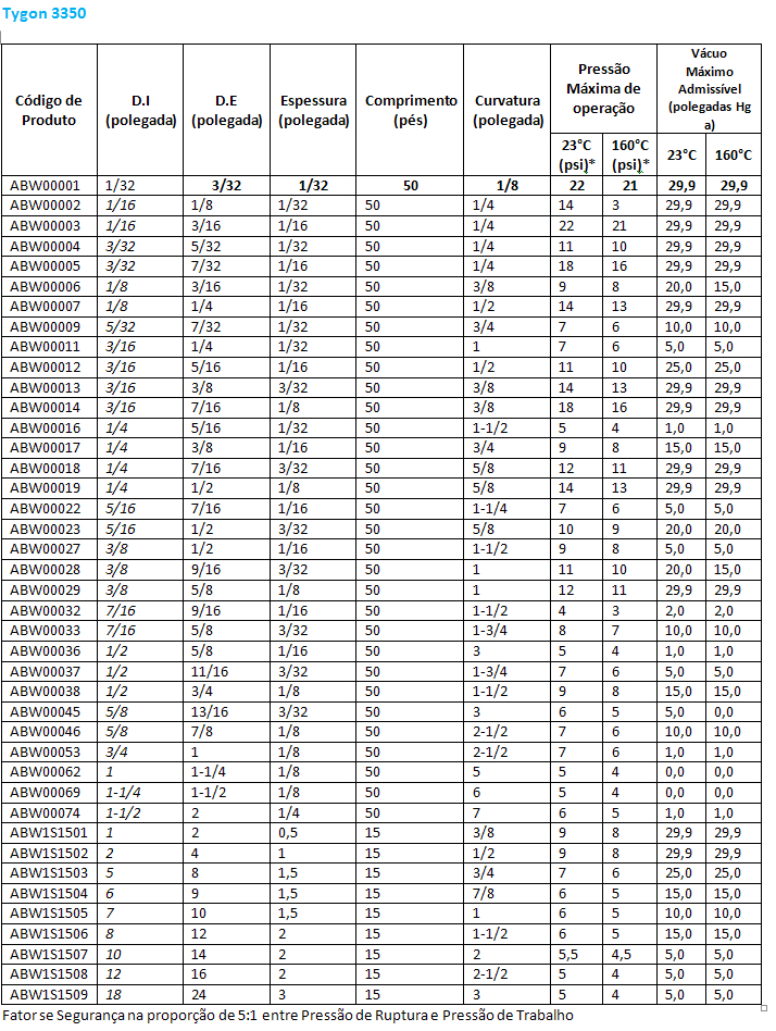
    ·         Linha completa de tamanhos disponíveis, incluindo tamanhos no sistema internacional de unidades (SI).

     

  •  

    ·         Processos farmacêuticos e cosméticos;

    ·         Dispositivos médicos;

    ·         Coleta de célula e sistemas de processo de meio de cultura;

    ·         Linhas estéreis de envase;

    ·         Transferência de água para injeção (WFI);

    ·         Analisadores químicos e de sangue;

    ·         Cromatografia líquida.

     

  •  


 

Produto:
Código:         Quantidade:
Empresa:
Nome:
Depto:
E-mail:
Cpf / Cnpj:
Endereço:
Numero: Complemento:
Bairro: Cidade:
Estado: Cep:
Telefone: Celular:
 
Observações:
 

 

 

 

 

 

 

 

 

 

 

 

 

 

 

 

       
 
Catálogo Saint-Gobain  
YOU TUBE CANAL LOBOV  
Website Saint-Gobain

  Representadas Institucional Ferramentas   Links Úteis
           
  PHCbi - Panasonic | Sanyo Home Cotações   ANVISA
  Binder Institucional Serviços Técnicos   Agência Nacional de Vigilância Sanitária
  Nalgene Loja Online     FDA
  Esco Notícias     Food and Drug Administration
  SP Scientific Eventos     US NSF
  JRI Fale Conosco     National Science Foundation
  AHN Trabalhe Conosco      
  Biologix        
  Nunc          
  Lista completa ...      
           

Quem Somos